传统中药肉豆蔻为肉豆蔻科植物的干燥种仁,性辛、苦、温,具有开胃消食、止泻、解酒保肝等功效。长久以来肉豆蔻被用于治疗胃肠道疾病,在西方国家亦被作为香料使用。据联合国粮食及农业组织调查显示,现今全世界每年要消耗近9000吨肉豆蔻,充分研究其生物活性将有利于扩大肉豆蔻的应用。2015年,北京大学与美国NIH合作研究发现肉豆蔻能够通过调节肠道菌群降低自发性结肠癌转基因小鼠体内毒素和IL-6的水平,使紊乱的脂质代谢正常化,来抵抗结肠癌的发生与发展(Journal of Proteome Research, 2015, 1937-1946)。
在进一步研究中,中国科学院昆明植物研究所天然药物化学前沿交叉团队博士杨晓男发现肉豆蔻可以通过恢复小鼠体内脂类代谢物、提高机体抗氧化水平和降低炎症水平来预防硫代乙酰胺诱导的小鼠肝损伤。采用过氧化物酶体增殖物激活受体α(PPARα)基因敲除小鼠诱导的肝损伤证实PPARα介导了肉豆蔻的肝保护作用。研究小组还揭示肉豆蔻中的主要成分——肉豆蔻木脂素对肝损伤具有类似的保护作用。该项研究主要是在NSFC-NIH的联合资助下,与北京大学教授杨秀伟、美国NIH研究员Frank J. Gonzalez共同完成的,这个发现拓宽了对肉豆蔻活性的认识。上述成果以PPARα Mediates the Hepatoprotective Effects of Nutmeg 为题发表在Journal of Proteome Research (2018, 17, 1887-1897) 杂志上,并被美国化学会(ACS)选择以Nutmeg’s hidden power: Helping the liver 为主题发表在2018年5月的新闻周刊上。
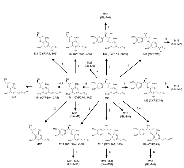
另外,天然药物化学前沿交叉团队的杨晓男和吕倩倩还开展了肉豆蔻中两种特征性、活性成分肉豆蔻木脂素(MRL)和去氢二异丁香酚(DDIE)的代谢研究。采用基于UPLC-ESI-QTOFMS的代谢组学方法,鉴定了23种MRL的代谢产物,其中19种是新鉴定的代谢产物。研究还发现,羟基化和去甲基化是MRL的主要代谢途径,CYP3A4和CYP3A5是参与MRL代谢的主要酶(RSC Advances, 2017, 7, 40131-40140; DOI: 10.1039/C7RA06189G)。而去甲基化和开环反应是DDIE代谢的主要途径,CYP1A1是有助于DDIE代谢物形成的主要酶。研究还发现,在DDIE暴露后,小鼠尿液中的两种内源性代谢物:2,8-二羟基喹啉及其葡萄糖苷酸结合物的含量显著升高,表明DDIE对肠道微生物菌群的调节作用(Journal of Pharmaceutical and Biomedical Analysis, 2017, 725-733)。以上研究揭示了肉豆蔻中两种代表性活性成分的代谢谱,有助于了解8-O-4′型及苯并呋喃型新木脂素的代谢特征和成药性,为进一步发现肉豆蔻中的先导化合物奠定基础。
以上研究得到国家自然科学基金项目(81161120429)、国家重点研发计划项目(2017YFC0906903)、中组部千人计划以及云南省博士后科研基金等项目资助。
文章链接
ACS新闻链接

图1 肉豆蔻提取物改善硫代乙酰胺诱导的急性肝损伤

图2 肉豆蔻提取物恢复乙酰肉碱类代谢平衡
图3 肉豆蔻木脂素(MRL)的代谢谱